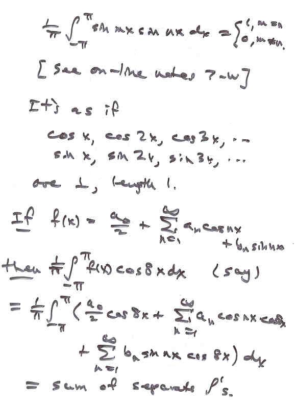
Lecture 8W

Page 10 NEXT PREV UP