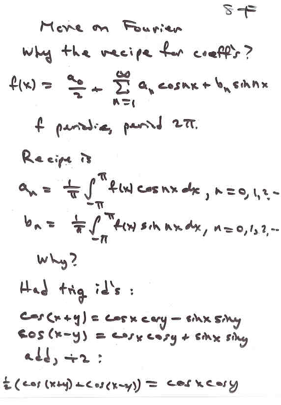
Lecture 8F

Page 1 NEXT UP