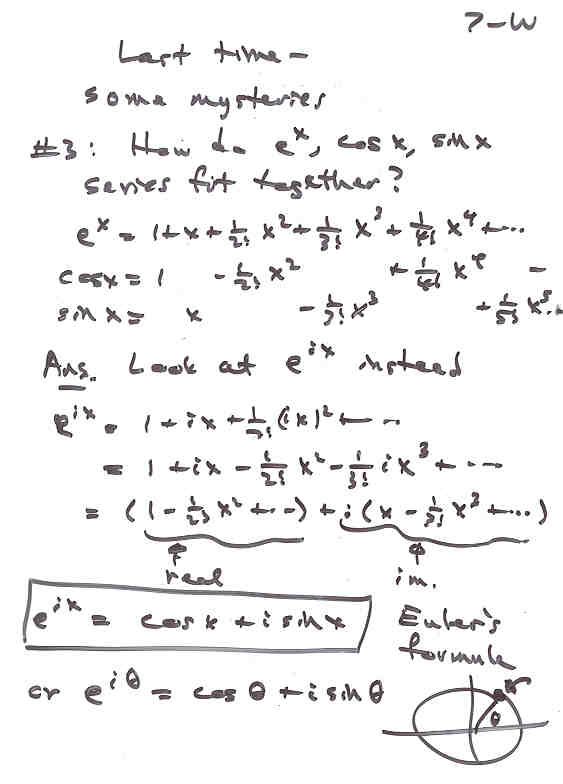
Lecture 7W

Page 1 NEXT UP