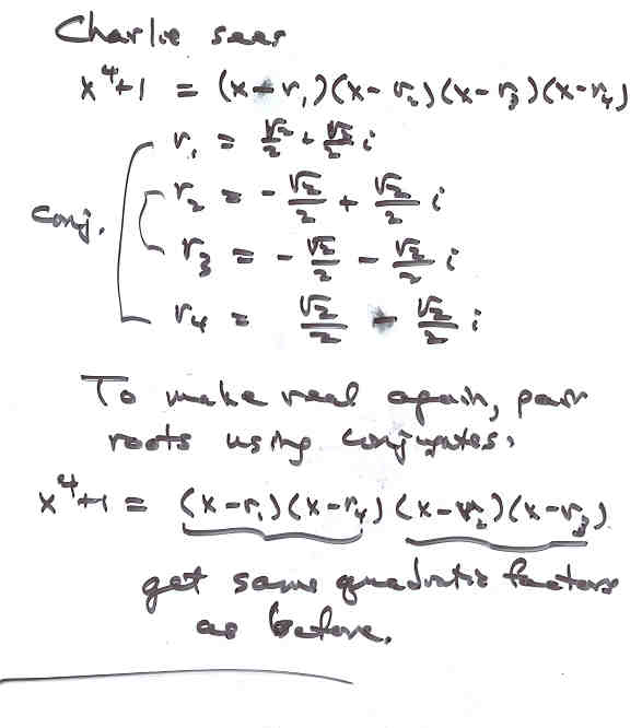
Lecture 7M

Page 10 NEXT PREV UP