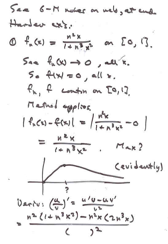
Lecture 6W

Page 3 NEXT PREV UP