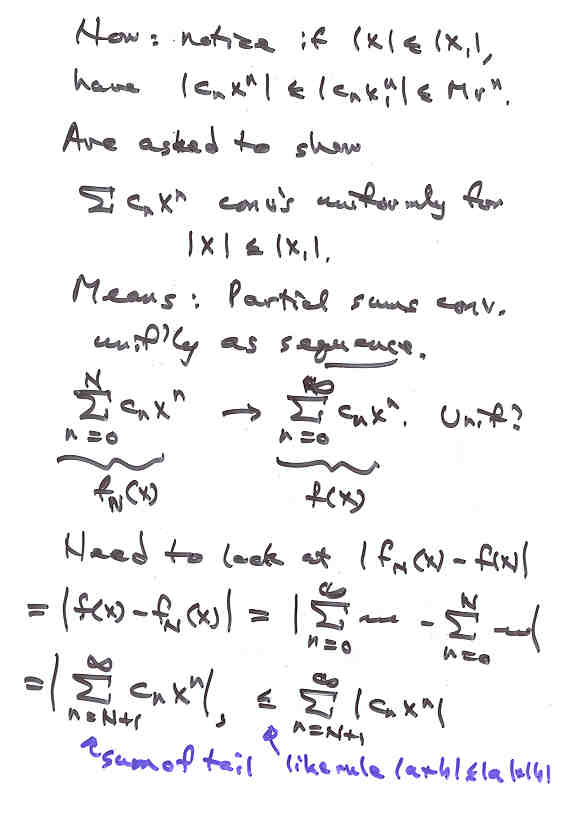
Lecture 6F

Page 8 NEXT PREV UP