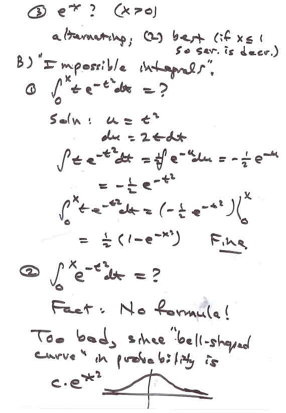
Lecture 5W

Page 4 NEXT PREV UP