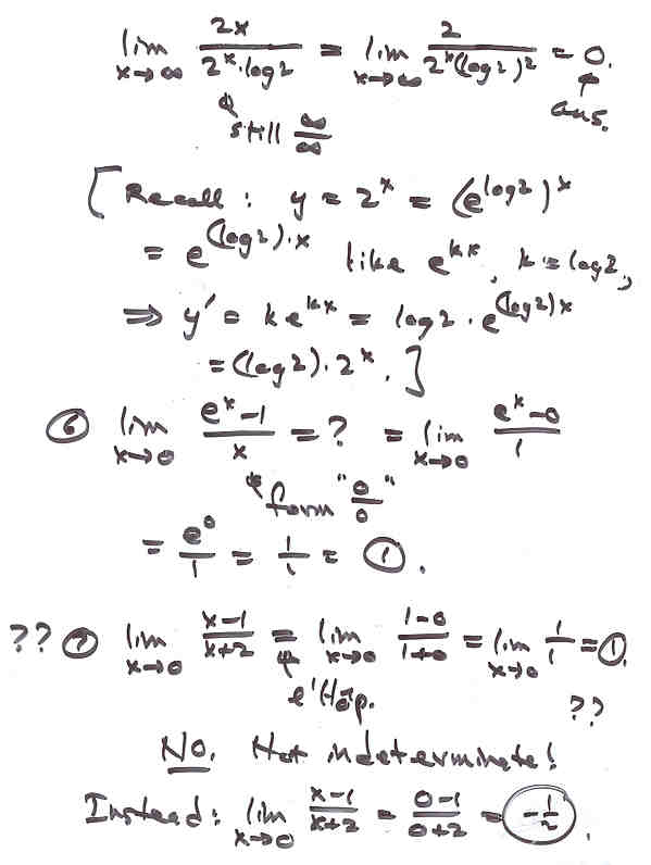
Lecture 5F

Page 5 NEXT PREV UP