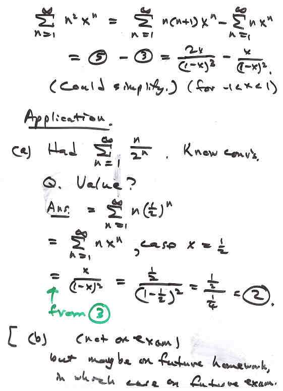
Lecture 4W

Page 4 NEXT PREV UP