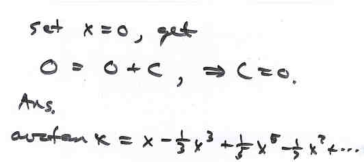
Lecture 4M

Page 11 UP PREV