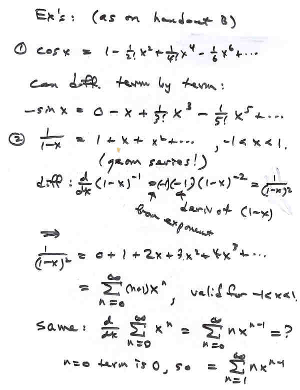
Lecture 4M

Page 8 NEXT PREV UP