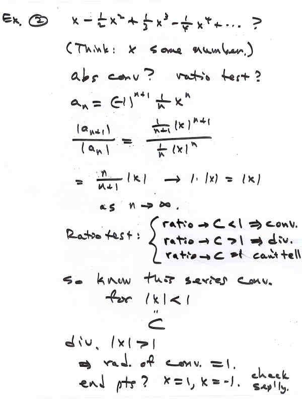
Lecture 3M

Page 13 UP PREV