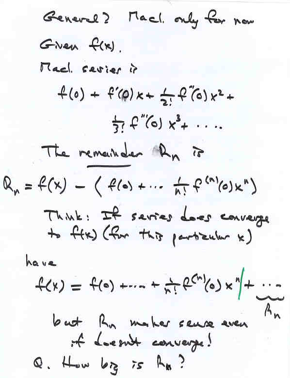
Lecture 3F

Page 2 NEXT PREV UP