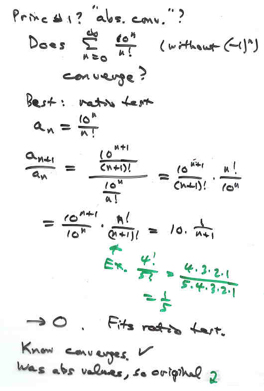
Lecture 2W

Page 3 NEXT PREV UP