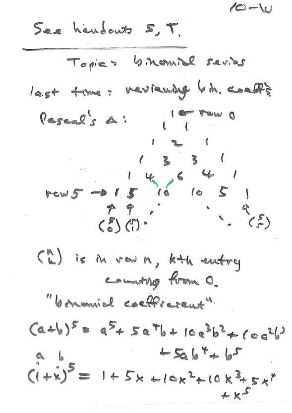
Notes 10W

Page 1 NEXT UP