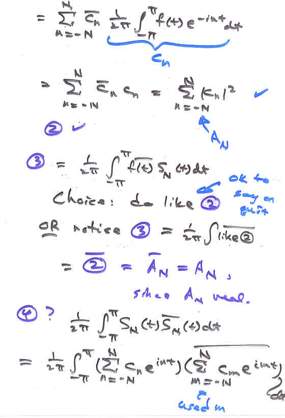
Lecture 10M

Page 9 NEXT PREV UP