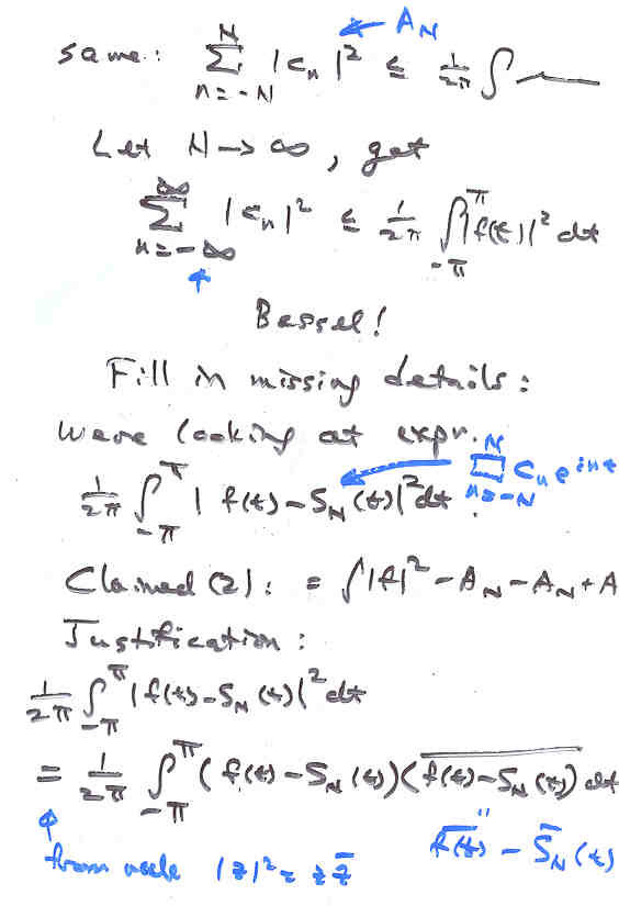
Lecture 10M

Page 7 NEXT PREV UP