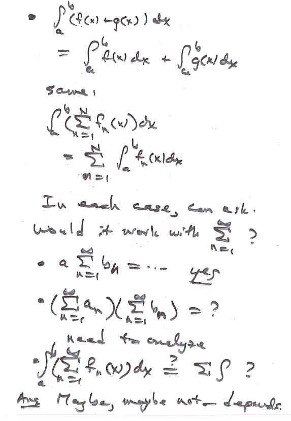
Lecture 10M

Page 3 NEXT PREV UP