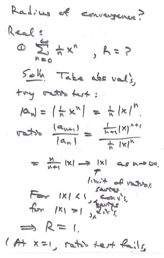
Notes 10F

Page 7 NEXT PREV UP