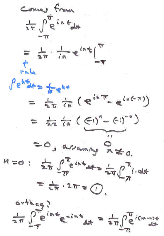
Lecture 9F

Page 6 NEXT PREV UP