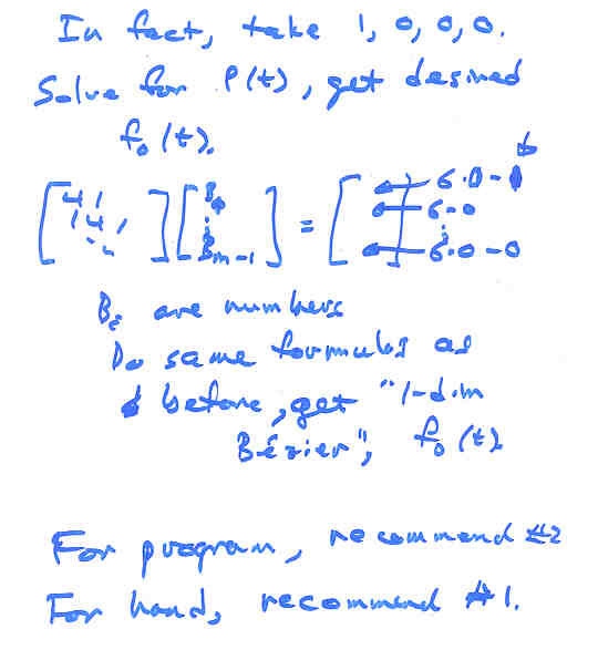
Notes 9W

Page 12 UP PREV