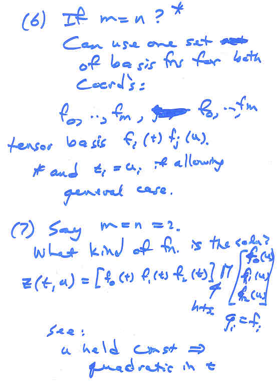
Notes 9W

Page 8 NEXT PREV UP