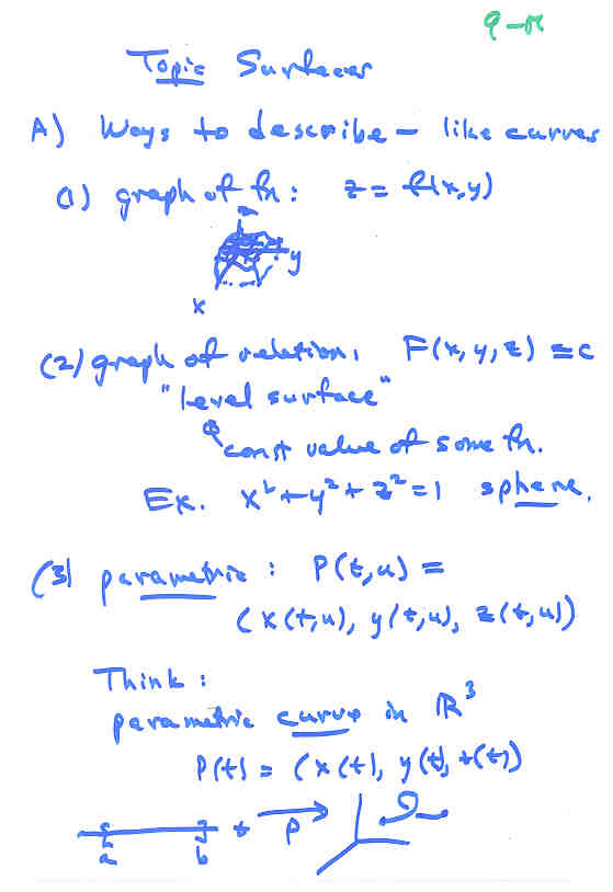
Notes 9M

Page 1 NEXT UP