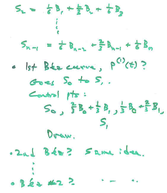
Notes 8M

Page 9 UP PREV