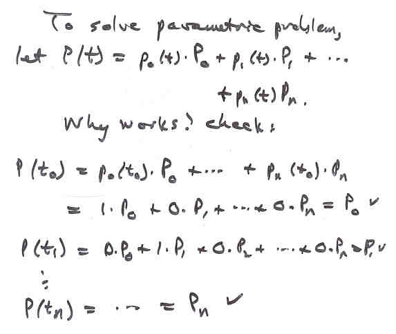
Notes 6M

Page 11 UP PREV