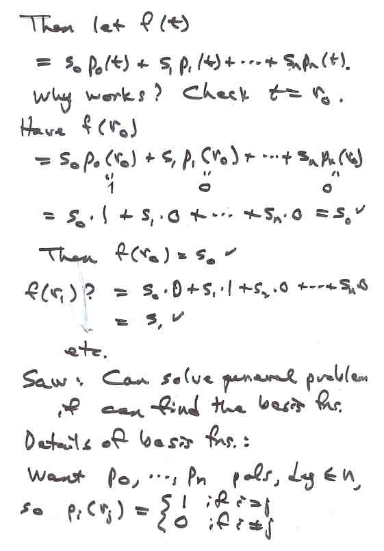
Notes 6M

Page 6 NEXT PREV UP