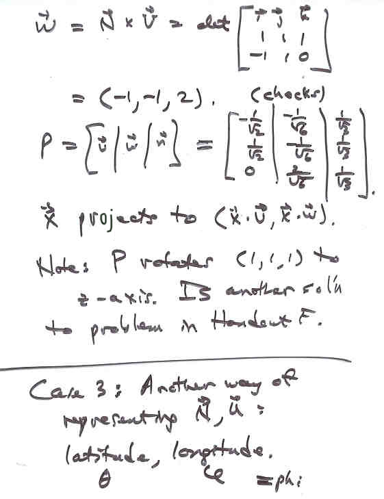
Notes 5M

Page 6 NEXT PREV UP