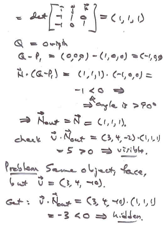
Notes 5F

Page 4 NEXT PREV UP