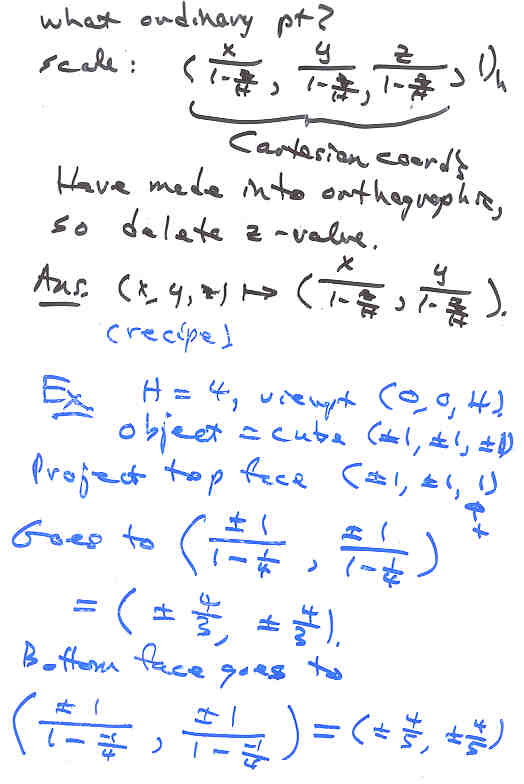
Notes 4W

Page 4 NEXT PREV UP