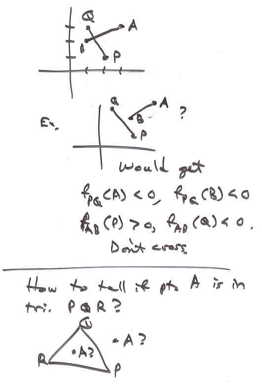
Notes 10W

Page 11 NEXT PREV UP