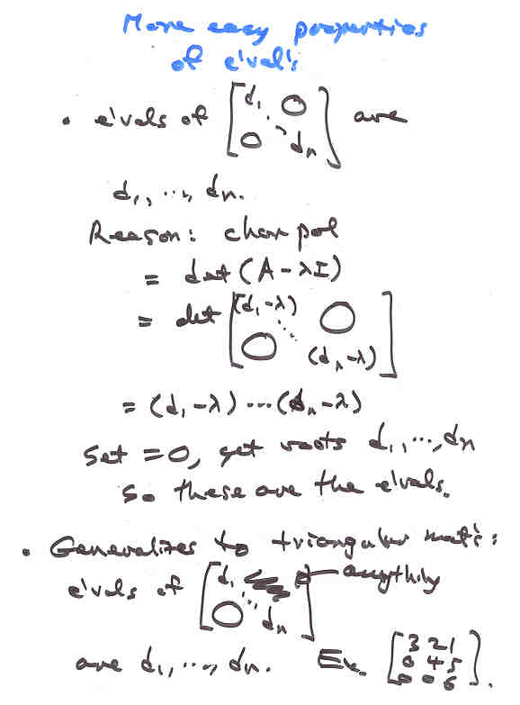
Notes 9M

Page 8 NEXT PREV UP