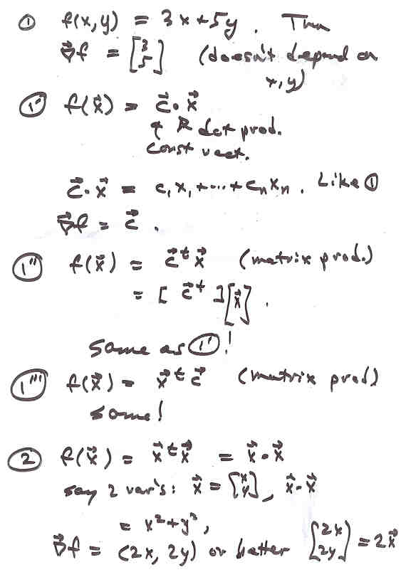
Notes 9F

Page 3 NEXT PREV UP