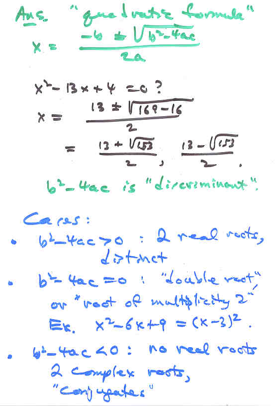
Notes 7W

Page 4 NEXT PREV UP