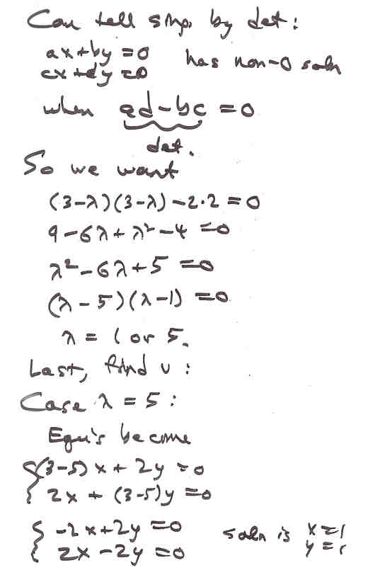
Notes 6F

Page 7 NEXT PREV UP