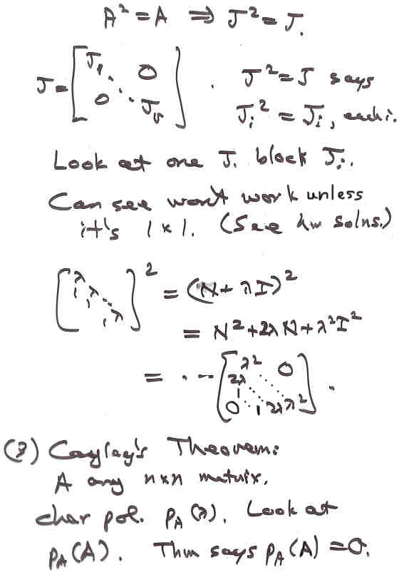
Notes 10W

Page 8 NEXT PREV UP