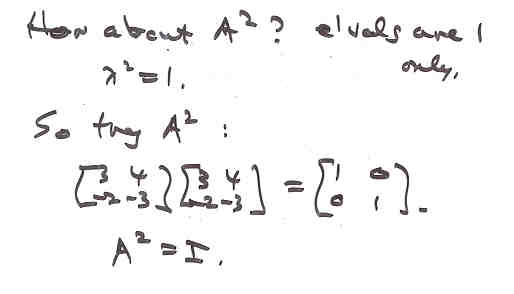
Notes 9M

Page 13 UP PREV