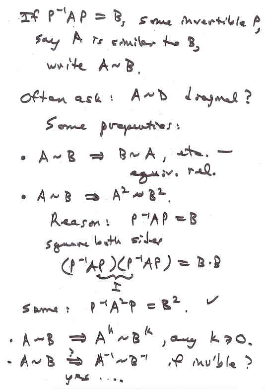
Notes 9M

Page 11 NEXT PREV UP