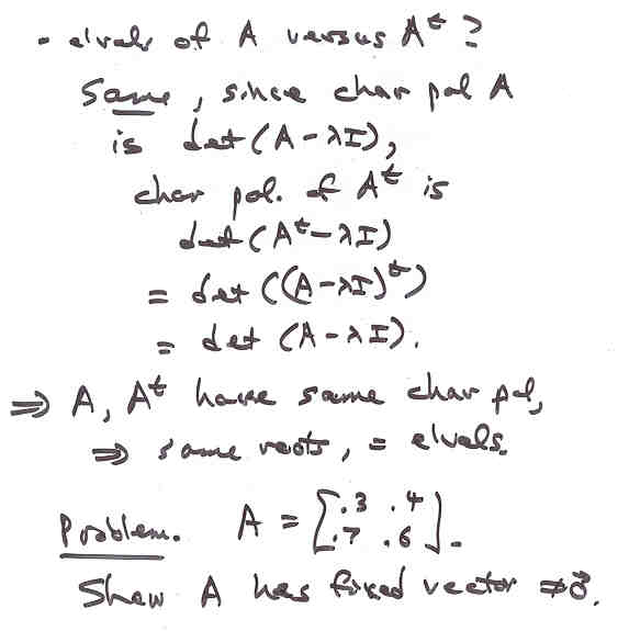
Notes 9M

Page 9 NEXT PREV UP