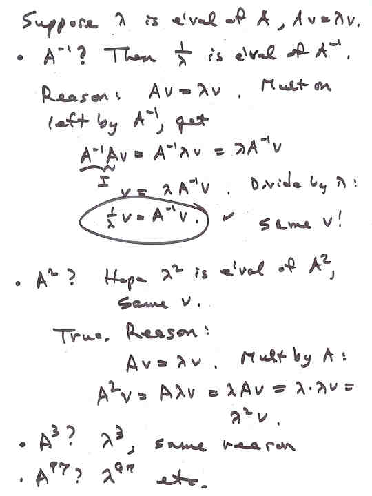
Notes 9M
Page 4
NEXT
PREV
UP