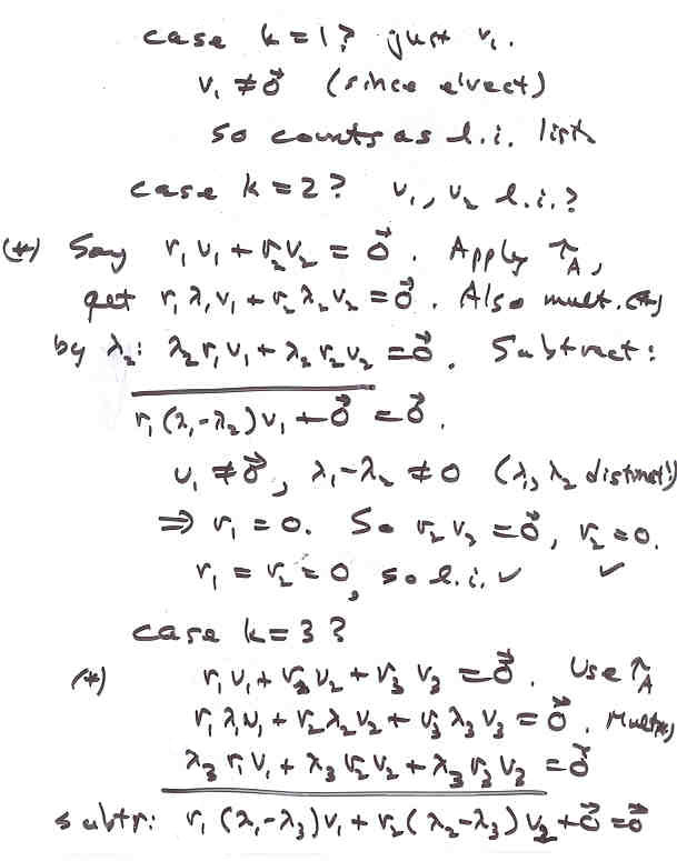
Notes 8W

Page 8 NEXT PREV UP