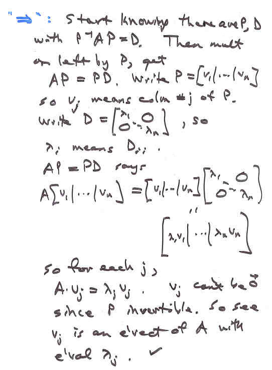
Notes 8W

Page 4 NEXT PREV UP