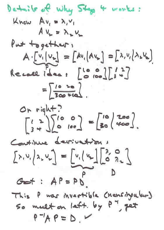
Notes 8W

Page 2 NEXT PREV UP