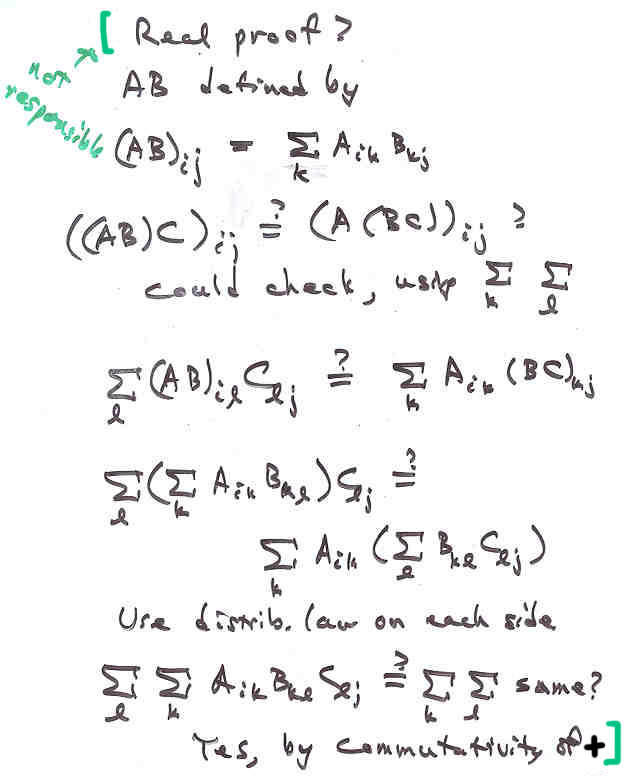
Notes 6W

Page 5 NEXT PREV UP