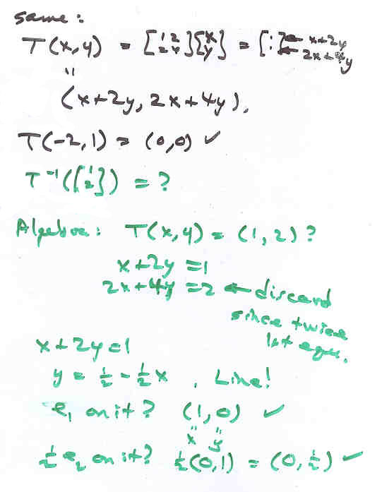
Notes 5W

Page 8 NEXT PREV UP