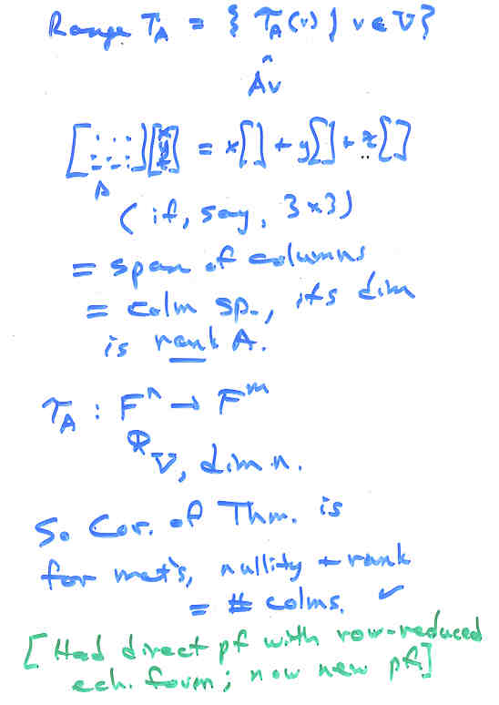
Notes 5F

Page 7 NEXT PREV UP