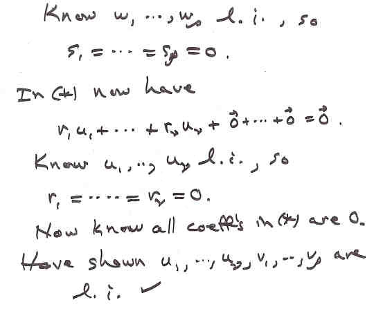
Notes 5F

Page 3 NEXT PREV UP