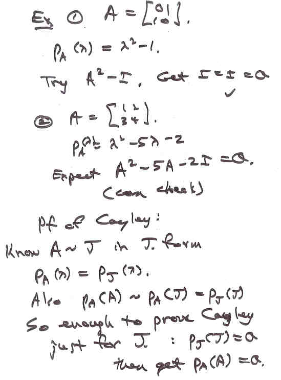
Notes 10W

Page 9 NEXT PREV UP