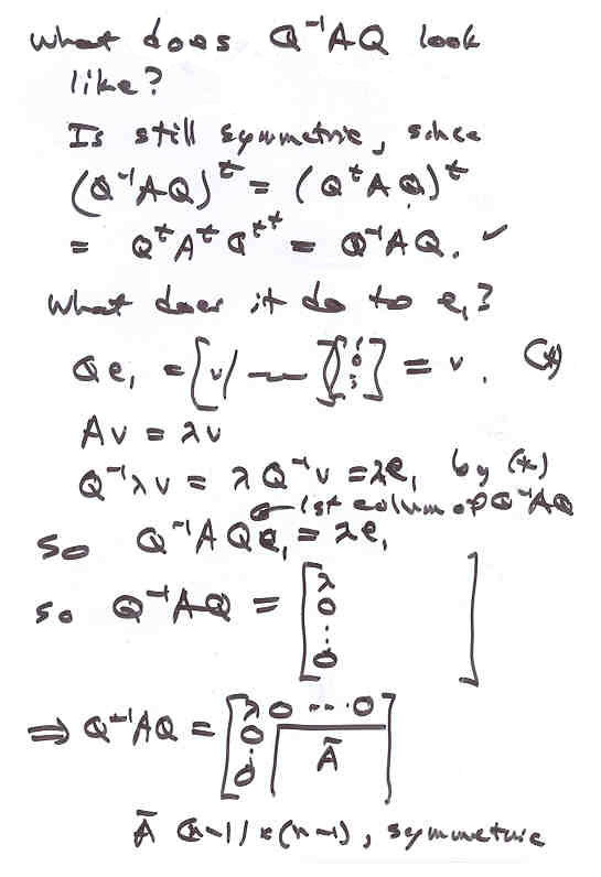
Notes 10M

Page 8 NEXT PREV UP