Back to Math 131 A-B H page

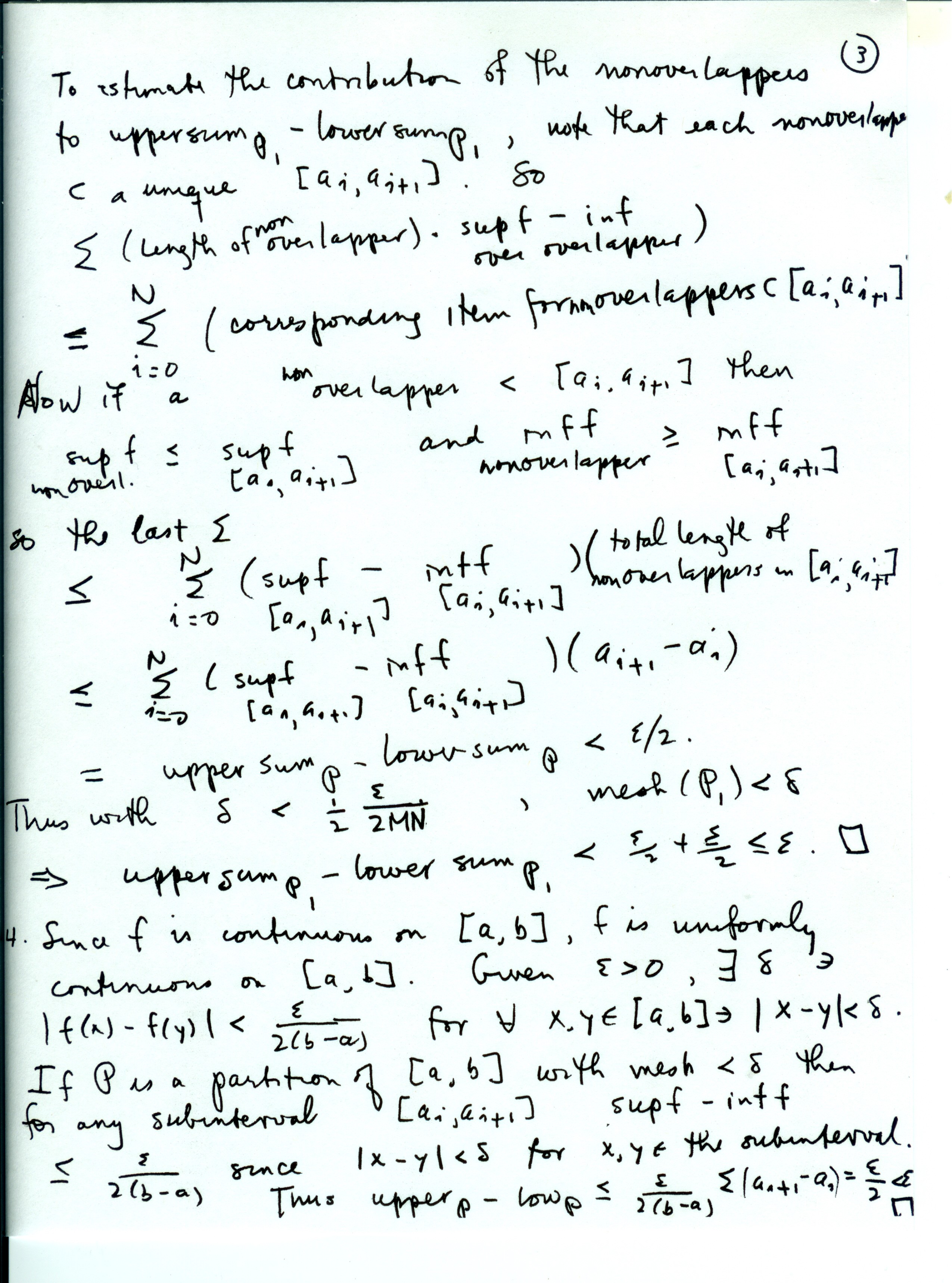
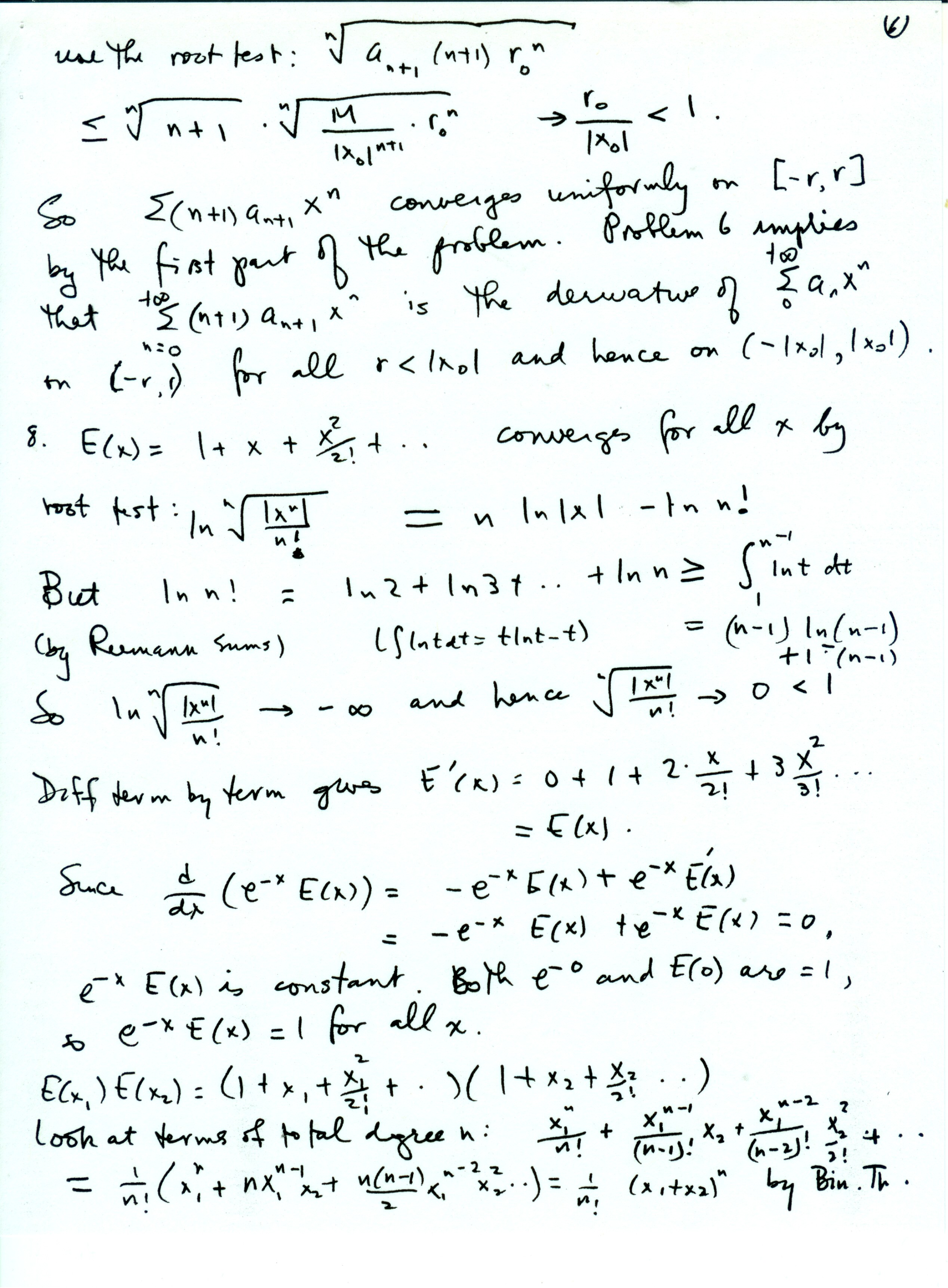
Here are my solutions to HW 1












Back to Math 131 A-B H page